Shopping for food has become increasingly expensive in recent years and over the next few weeks I’ll be providing you with tips and ideas to help save you money while maintaining a healthy diet. This week I’m focusing on supermarket shopping and my first tip is to suggest doing your supermarket grocery shopping online instead of instore, there are a number of reasons for this:
- Keeps you to budget – very easy to remove or swop items as you go along and at the end.
- Staple buys are stored which saves time and price comparisons more likely.
- Easier to keep to a meal plan – only buy what is required.
- Less temptation to buy unhealthy foods and overconsume.
- Reduced exposure to unhealthy food promotions.
Studies have shown that the supermarket environment can be the driver of a less nutritious diet[1] [2], online shopping can help avoid this impact, especially if you tend to shop with children which can make it even harder to stay focused and avoid the barrage of unhealthy products aimed at children. A common misconception is that ‘budget’ food ranges are nutritionally inferior and should be avoided, these products are commonly difficult to find instore due to unclear labelling and inconspicuous product location, I have shown below a comparison of a variety of commonly consumed ‘budget’ and ‘regular’ products currently available at one of the UK’s biggest supermarket outlets.


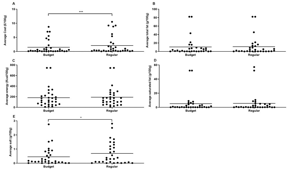
The cost of ‘budget’ products is significantly lower and nutritionally similar or superior to the ‘regular’ products and reflects results I previously found in a larger analysis carried out in 2022 shown below and echoes other studies [4, 5].

It is well worth the effort to try to seek out these budget options as it could save up to 41% on overall food shop costs with no nutritional sacrifice, hopefully in the future supermarkets will make it easier for consumers to make healthier, low-cost food choices as previous studies have shown this could also be a way of overcoming socioeconomic disparities in diet quality[3].
References
1. Pechey, R. and P. Monsivais, Supermarket Choice, Shopping Behavior, Socioeconomic Status, and Food Purchases. Am J Prev Med, 2015. 49(6): p. 868-77.
2. Aggarwal, A., et al., Access to supermarkets and fruit and vegetable consumption. Am J Public Health, 2014. 104(5): p. 917-23.
3. Darmon, N. and A. Drewnowski, Contribution of food prices and diet cost to socioeconomic disparities in diet quality and health: a systematic review and analysis. Nutrition Reviews, 2015. 73(10): p. 643-660.
4. Cooper, S. and M. Nelson, Economy-line foods from four supermarkets and brand name equivalents: a comparison of their nutrient contents and costs. Journal of Human Nutrition and Dietetics, 16(5): p. 339-347.
5. Darmon, N., et al., Low-cost foods: how do they compare with their brand name equivalents? A French study. Public Health Nutrition, 2009. 12(6): p. 808-815.
